Анотація
На практиці маса зерна при прийманні та відвантаженні завжди пов’язана з двома змінними: вологістю та сміттєвою домішкою. Класичні підходи до кількісно-якісного обліку вимагають каскадних перерахунків і часто призводять до помилок під час часткових відвантажень з різними фактичними показниками якості. У статті описано приклад проблеми та запропоновано концепцію «абсолютного зерна» — методику, що дає можливість однозначно визначати масу до видачі в реальному часі.
Класичний метод обліку зерна
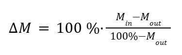
У 2004-2007 роках обіймав посаду головного програміста у великій українській компанії аграрного сектору, яка займалася повним циклом зернової логістики — від закупівлі до зберігання та відвантаження на елеваторах. У процесі виробничої діяльності компанії постала критична потреба в систематизації та автоматизації обліку кількісно-якісних показників зерна. Існуючі рішення не відповідали специфіці сучасного технологічного процесу елеваторного господарства, вимагали великого обсягу ручної праці бухгалтерів та призводили до непрозорості всього процесу в цілому. У результаті група компаній мала значні ризики втрат, помилок у звітності та ускладнення в оперативному управлінні. З метою забезпечення ефективного управління виробничими процесами, пов’язаними з обліком кількісно-якісних характеристик зерна, було ініційовано розробку та впровадження спеціалізованого програмного забезпечення, адаптованого до реальних потреб сучасного підприємства, що міг повноцінно замінити ручний облік, методологія якого фактично повторювала підхід з 1980-х років. У кількісно-якісному обліку вага зерна (на відміну від металу, пластику тощо) завжди супроводжується вологістю і сміттєвою домішкою. Проаналізувавши предметну область, я почав розробляти систему, яка дублювала класичний підхід до звичайного обліку. Поясню на прикладі: якщо ви покладете 100 тон металу на склад на певний термін на відповідальне зберігання, то таку ж масу металу ви заберете назад після закінчення договору. Із зерном ситуація складається інакше. Оскільки воно надходить із поля вологим і засміченим, його необхідно довести до так званих базисних показників перед закладанням в силос чи на склад для тривалого зберігання. Для цього зерно сушиться (знижується рівень вологості в зерні) та обробляється (зменшується сміттєва домішка). В результаті цих дій вага зерна стає об’єктивно менше. У момент надходження зерна на елеватор його вага вимірюється у фізичному (сирому і засміченому) стані. А втрата ваги від сушіння і очищення у класичному обліку визначається аналітично за формулою Дюваля.

Де: ∆M — зниження ваги від зменшення вологості, %; M_in — середньозважена вологість при надходженні, %; M_out —середньозважена вологість при вибутті, %;

Де: ∆F — зниження ваги від зменшення сміттєвої домішки, %; ∆M — зниження ваги від зменшення вологості, %; F_in — середньозважена сміттєва домішка при надходженні, %; F_out— середньозважена сміттєва домішка при вибутті, %;
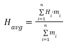
Наприклад, вага отриманого з поля зерна становить 100 000 кг при вологості 20,0 % і сміттєвої домішки 5,0 %. Його потрібно довести до 14,0 % вологості і 2,0 % сміттєвої домішки відповідно, щоб потім покласти на склад. Розрахунок за формулою Дюваля: 100 000 кг*(20,0 % – 14,0 %)/(100,0 % – 14,0 %) = 6 976,7 кг у вигляді усушки та (100 000 кг – 6 976,7 кг)*(5,0 %-2,0 %)/(100,0 %-2,0 %) = 2 847,7 кг у вигляді зменшення сміттєвої домішки. Таким чином, розрахунком ми визначили аналітично вагу, яка буде закладена на склад: 100 000 кг – 6 976,7 кг (усушка) -2 847,7 кг (зменшення сміттєвої домішки) = 90 176 кг. Логічно, що при відвантаженні зерна зберігач повинен забрати ці 90 176 кг. В ідеальних умовах це повинно статися, якщо вологість і сміттєва домішка на момент відвантаження залишаються базисними. Але що робити, якщо при зберіганні зерна змінилися погодні показники та зерно на момент відвантаження буде мати вологість 13,8 %, а за рахунок роботи з зерном сміттєва домішка стане 1,9 %. Яку вагу потрібно повернути зберігачу? Кількість зерна, яка зазначена в документах, стала меншою. Для цього треба знову скористатися формулою Дюваля, і тільки на цей раз слід вказувати в ній не базисні кондиції, а середньозважені фактично відвантажені показники (13,8 % і 1,9 %). Отже, усушка дорівнюватиме: 100 000 кг*(20,0% – 13,8 %)/(100 % – 13,8 %) = 7 192,6 кг, а зменшення сміттєвої домішки: [(100 000 кг-7 192,6)*(5,0 % – 1,9 %)/(100,0 % – 1,9 %)]=2 932,8 кг. Таким чином, вага, що підлягає видачі, становить: 100 000 кг – 7 192,6 (усушка) – 2 932,8 (зменшення сміттєвої домішки) = 89 875 кг, а не 90 176 кг, як було розраховано при прийманні. Цей залишок в 89 875 кг повинен збігатися з вагою у акті розрахунку (документі, який відображає всі надходження і відвантаження). Додам до цього прикладу часткове відвантаження 50 000 кг при вологості 13,8 % і сміттєвої домішці 1,9 %. В цьому випадку наступні розрахунки ще ускладняються, так як потрібно кожного разу перераховувати всю історію операцій надходжень та відвантажень для визначення середньозважених вологості та сміттєвої домішки по надходженню та вибуттю на момент цього відвантаження. В нашому випадку після першого відвантаження в 50 000 кг, умовний залишок становить: 89 875 кг – 50 000 кг = 39 875 кг, але його потрібно перерахувати з показниками вологості та сміттєвої домішки на момент остаточного вибуття. Наприклад ці показники будуть становить 13,7 % та 1,8 %. Розрахуємо середньозважені вологість та сміттєва домішка на момент вибуття за формулою:

Де, H_avg — % вологості або сміттєвої домішки “i” партії по вибуттю, %; m_i — вага “i” партії, кг; n — кількість партій;
Таким чином, оскільки у нас тільки одна партія, то середньозважена вологість за надходженням становить 20%, а сміттєва домішка 5%. Середньозважена вологість по вибуттю дорівнює: (50 000 кг (перше відвантаження)*13,8 % + 39 875 кг (умовний залишок)* 13,7 %)/89 875 кг = 13,76 %, а сміттєва домішка: (50 000 кг (перше відвантаження)*1.9 % + 39 875 (умовний залишок)* 1.8 %)/89 875 = 1,86 %. Підставимо ці значення до формули Дюваля, та отримаємо зниження ваги від зменшення вологості та сміттєвої домішки: 100 000 кг*(20,0 % – 13,76%)/(100,0 % – 13,76 %) = 7 235,6 кг від зниження вологості та [(100 000 кг-7 235,6)*(5,0 % – 1,86 %)/(100,0 % – 1,86 %)]=2 968 кг від зниження сміттєвої домішки. Тобто елеватор повинен повернути зберігачу наступну вагу: 100 000 кг (надходження у фізичній вазі) – 50 000 кг (перше відвантаження) – 7 235,6 кг (усушка) – 2 968 (зниження сміттєвої домішки) = 39 796 кг. Це був невеликий приклад тільки з одним частковим відвантаженням. На практиці таких відвантажень може бути достатньо багато. Більш того, зазвичай зберігач переоформлює (по суті, продає зерно, яке залишається у сховищі) на покупця (трейдера), який згодом вивозить його вагонами. Зокрема вологість і сміттєва домішка від вагону до вагону може змінюватися хоч і незначно. Таким чином, для того, щоб правильно визначити вагу зерна в оперативному режимі (до акту зачистки, який по суті є глобальним актом розрахунку для всіх зберігачів), необхідно було постійно проводити каскадні розрахунки (з урахуванням всієї історії надходжень і витрат), що неминуче призводило до помилок, а саме – розходження ваги останньої машини з очікуваною за актом розрахунку, та необхідності розрахунку точної ваги, що підлягає поверненню. Це призводило до суперечок зі зберігачами та рутинних математичних розрахунків, у яких могла статися помилка.
Мій авторський метод абсолютного зерна
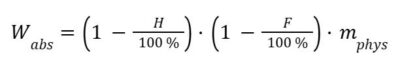
Беручи до уваги описані проблеми, я розробив і впровадив авторський метод, який назвав «методом абсолютного зерна». Його суть полягає в тому, що всі операції із зерном (надходження та вибуття) перераховуються до умовного абсолютного зерна — без вологи та без сміттєвої домішки. Потім під час кожного відвантаження до цієї абсолютної маси додається необхідна кількість вологи та сміттєвої домішки за фактичними показниками при вибутті. Зерно паралельно обліковується в окремому регістрі в абсолютній масі. Для цього я запропонував дві формули:
Пряма формула визначення абсолютної ваги із фізичної:

Зворотна формула: визначення фізичної ваги із абсолютної:
Де, W_abs – абсолютна вага зерна, кг; H – вологість зерна, %; F- сміттєва домішка зерна, %;
m_phys – фізична вага, кг.
Таким чином, ми завжди можемо точно визначити кількість виданого зерна, яка відповідатиме акту-розрахунку з незначною похибкою. Застосуємо ці формули до нашого прикладу. Для цього спочатку скористаємося формулою перерахування фізичної ваги, вологості та сміттєвої домішки до «абсолютної» ваги. У наведеному вище прикладі (100 000 кг, 20% вологість, 5% сміттєва домішка) абсолютна вага надходження (після прибирання всієї води та сміттєвої домішки) буде дорівнювати: 100 000 кг* (1-20 %/100 %)*(1-5 %/100 %) =76 000 кг. Після першого відвантаження у50 000 кг з показниками 13.8 % вологості та 1,9% сміттєвої домішки та перерахування до абсолютної ваги за формулою ми отримаємо 50 000 кг (1-13,8 %/100 %)*(1-1,9 %/100 %) =42 281,10 кг. Зменшимо залишок у абсолютної вазі на цю кількість та отримаємо: 76 000 кг (абсолютна вага при прийманні) – 42 281,10 кг (абсолютна вага першого відвантаження) = 33 718,9 кг. При остаточній видачі зерна власнику, ми додаємо необхідну кількість вологи та сміттєвої домішки за зворотною формулою перерахунку абсолютній вазі до фізичної вазі з заданими показниками якості (в нашому випадку остаточна видача, здійснювалась з 13,7 % вологістю та 1,8 % сміттєвою домішкою). Додаємо до цих 33 718,9 кг абсолютного зерна фактичні вологість та сміттєву домішку за формулою та отримуємо: 33 718.9 кг (залишок в абсолютній вазі) /[(1-13,7 %/100 %)*(1-1.8 %/100 %)] = 39 788 кг. Класичний метод нам дав 39 796 кг. Різниця у 8 кг (0,008 %) між методами пояснюється заокругленнями. Отже, ми довели, що метод абсолютного зерна дає точну відповідь на запитання щодо кількості зерна, яке необхідно видати, незалежно від складності сценарію.
Висновки
Запропонований метод не потребує складних обчислень і дозволяє точно визначати масу зерна, що підлягає поверненню. Його похибка становить одиниці кілограмів у партіях у сотні тон порівняно з класичним методом. Метод був протестований і впроваджений у спеціалізоване програмне забезпечення на 32 елеваторах України та показав високу ефективність. Ця методика забезпечує прозорість взаємин між елеваторними підприємствами та власниками зерна, мінімізує суперечки щодо обсягів і практично унеможливлює можливість виникнення спірних ситуацій.
З повагою, Олег Марущак

email:olemaro@icloud.com






Залишити коментар: